Dietary supplement
Now position: Home
> Dietary supplement
Mangiferin
![]() |
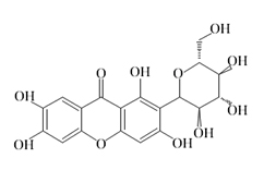
Assay: Mangiferin 98% Chemical Formula: C19H18O11 CAS No.: 4773-96-0
Mangiferin has been isolated from the leaves of Mangifera indica L. |
Order
/ online
Relevant
/ recommend






